Pdf Comparison Of Carbon Dioxide Emissions For Two Landfill
Architecture Building And Civil Engineering Postgraduate Study

Postgraduate Programmes School Of Architecture Building And


Photos Bayo Adelabu S First Child Bags Msc From Loughborough

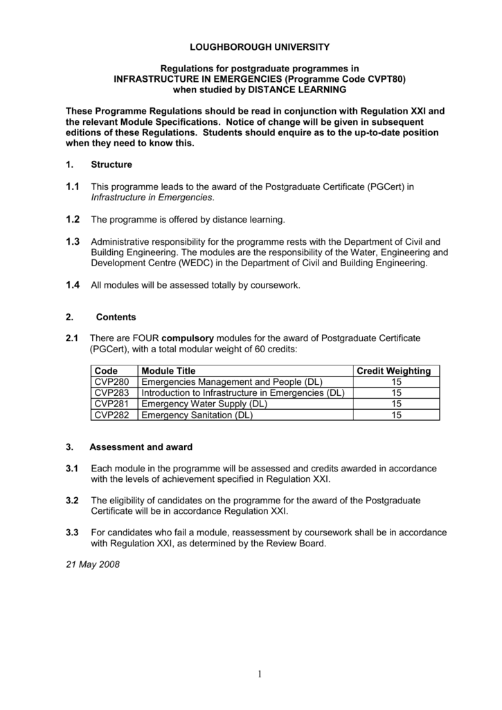
Pgcert Loughborough University

Dr Hasan Haroglu Academic Profiles Kingston University London

School Of Civil Engineering Tsinghua University

Building Information Modelling And Its Effect On Off Site
Emily Husband Civil Engineer Arcadis Linkedin

Supporting Loughborough University Studies Best Practice Hub
Student Competitions Join A Msc In Renewable Energy Systems

Loughborough University Profile And 2019 Ranking

Mr John A Pickford Civil Engineering 1943 Imperial News

Dr Tony Hargreaves Department Of Civil Engineering University

Future Use Of Life Cycle Assessment In Civil Engineering Topic
News Loughborough Student Awarded Se Controls Prize Se
Media

Pdf Evaluation Of Undrained Failure Envelopes Of Caisson